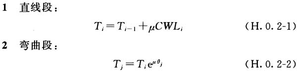
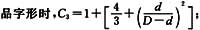
附录H 电缆穿管敷设时允许最大管长的计算方法 H.0.1 电缆穿管敷设时的允许最大管长应按不超过电缆允许拉力和侧压力的下列公式确定: 式中:Ti=n——从电缆送入管端起至第n个直线段拉出时的牵引力(N); Tj=m——从电缆送入管端起至第m个弯曲段拉出时的牵引力(N); Tm——电缆允许拉力(N); Pj——电缆在j个弯曲管段的侧压力(N/m); Pm——电缆允许侧压力(N/m)。 H.0.2 水平管路的电缆牵拉力可按下列公式计算: 式中:Ti-1——直线段入口拉力(N),起始拉力T0=Ti-1(i=1),可按20m左右长度电缆摩擦力计,其他各段按相应弯曲段出口拉力计; μ——电缆与管道间的动摩擦系数; W——电缆单位长度的重量(kg/m); C——电缆重量校正系数,2根电缆时,C2=1.1;3根电缆 Li——第i段直线管长(m); θj——第j段弯曲管的夹角角度(rad); d——电缆外径(mm); D——保护管内径(mm)。 H.0.3 弯曲管段电缆侧压力可按下列公式计算: H.0.4 电缆允许拉力应按承受拉力材料的抗张强度计入安全系数确定。可采取牵引头或钢丝网套等方式牵引。 用牵引头方式的电缆允许拉力可按下式计算: 式中:k——校正系数,电力电缆k=1,控制电缆k=0.6; σ——导体允许抗拉强度(N/m2),铜芯取68.6×106N/m2,铝芯取39.2×106N/m2; q——电缆芯数; s——电缆导体截面(m2)。 H.0.5 电缆允许侧压力可采取下列数值: 1 分相统包电缆,Pm=2500N/m; 2 其他挤塑绝缘或自容式充油电缆,Pm=3000N/m。 H.0.6 电缆与管道间动摩擦系数可取表H.0.6所列数值。 表H.0.6 电缆与管道间动摩擦系数 注:电缆外护层为聚氯乙烯,敷设时加有润滑剂。